Misestimation of Expected Genetic Differences? Not so fast
A brief note on Fuerst(2025)
I promised a substack post (about Furest comments on the Bird paper), but I got sick.
As a stopgap, I'll just do a short one about how Fuerst(2025) misunderstood Gusev's claim:
Gusev’s claim is that when geneticists say that the expected variance between populations is 2*h^2*FST, they refer to Nei’s older(1973) FST.As Sasha notes elsewhere in his document, in 1986, Nei redefined the FST, and the two formulas differ by a factor of two. So if one were to use the newer FST, then the expected variance between populations is indeed 1*h^2*FST. If one uses the older Nei FST, then the multiplier is necessary, so the expected variance is 2*h^2*FST. To complicate things further, Hudson’s (1992) FST is yet another way to define FST. Under the Hardy-Weinberg Equilibrium, Hudson(1992)’s FST is APPROXIMATELY equal to Nei’s newer FST. Therefore neither Nei’s newer, nor Hudson’s FST requires the multiplication by 2.
Fuerst cites the paper by Edge&Rosenberg, and tries to argue that Gusev is wrong, the multiplication by 2 is there because of the QST’s ploidy correction. For the unitiated: ploidy is the number of complete sets of chromosomes in a cell, therefore humans are diplopid beings. Under neutrality, QST =~ FST.
This is important, because Mr Fuerst tries to derive the o^2AB(the variance explained by between-group genetic differences) from the QST.
The screenshot is from Edge&Rosenberg 2015. Mr Fuerst correctly notes that for the QST, a parameter for ploidy is necessary. However, he misunderstood Gusev’s central claim. Gusev never claimed that this factor of two for humans is not needed. He claimed that if we plug in Nei’s n estimate, we will get o^2AB=1*h^2*FST, while if we plug in Hudson’s or, Edge&Rosenberg’s FST, then o^2AB=2*h^2*FST.
Note that Gusev is primarily interested in estimating o^2AB/O^2POP, while Fuerst derives the o^2AB directly. This is another point for confusion.
o^2AB represents the component of the total additive genetic variance for a trait that is due to the average genetic differences between populations, while o^2AB/O^2POP represents the fraction of the total observable variation in the trait across all individuals is statistically explained by the average additive genetic differences between the populations.
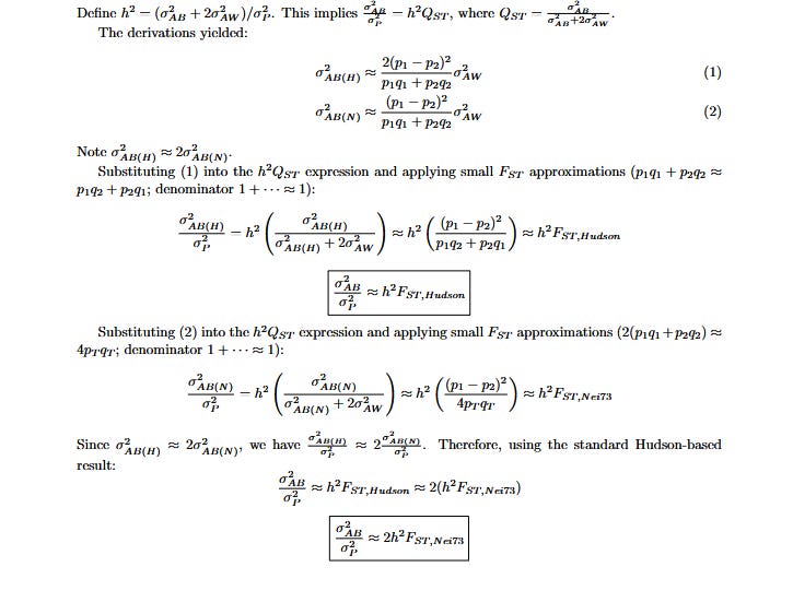
In the remaining section, I show that Gusev’s claim holds when FST is low(which it is for humans).
I did the math that Fuerst failed to do for himself on paper, but for the convience of the readers, I asked chatgpt to convert it to Latex and explain the steps, so it is easier to read:
Hopefully, one can easily see that it does matter which FST we plug into the QST equation!
In order to recover Hudson’s or Nei’s newer FST, we need to multiply Nei(1973)’s FST by two.
Finally, we need to show that these imply Gusev’s statements(very easy):
By assuming that under neutrality, Hudson’s FST = QST, the o^2AB/O^2POP= h^2FST_hudson is true by definition.
To recover the o^2AB/O^2POP= h^2FST_NEI, we simply note that o^2AB(n) needs to be multiplied by two to approximate o^2AB(h).
QED.
Acknowledgements: I thank Sasha Gusev for clarifying Edge&Rosenberg’s paper. Thank you to J for proofreading. Derivations/mistakes/opinions are my own.






